电感,只看DCR,饱和电流吗?
在开关电源(指D to D电路,即Buck,Boost等直流转直流拓扑结构)电路的设计中电感的设计选型为研发工程师带来了许多的挑战。工程师在选型中,常会关注的如:电感的感值,直流导通阻抗,电感的电流,里面又分很多种叫法,饱和电流,额定电流,温升电流等等,再资深些的工程师,会关注电感的绕线结构,关联到电感的磁力线方向,如何去优化EMC等,机械尺寸,关联到热阻分布是否均匀等等。更资深的工程师,还会关注一些电感规格书标定以外的一些参数,比如ACR,关联到高频交流损耗,磁芯的矫顽力,剩磁等,关联到一些极限设计时的耗散功率的损耗等等。
绝对大部分的工程师,只关注了感值,直流导通阻抗,饱和电流。但当产品设计遇到瓶颈时,却又不知道问题点出在哪,试了好多方案,兴许方向还错了,拖延了项目研发周期。以下AG飞禽走兽多人版微为你深度剖析电感的选型要点,理解电感的各个参数要点。
电感,只看DCR,饱和电流吗?
电感常常被理解为开关电源输出端中的LC滤波电路中的L(C是其中的输出电容)。只理解到这个程度还不够,为了使得电感在设计中更优化,甚至许多场合,发热问题和高度问题都聚焦在电感,为了使得整个项目突破限高问题,解决发热问题,就必须更深入的了解电感的行为本质。
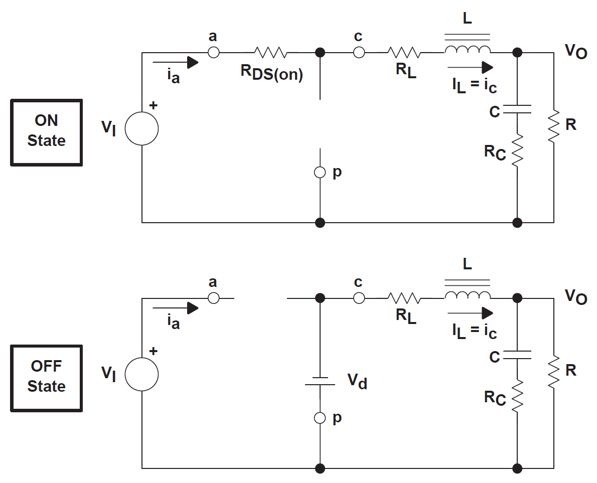
以降压电源转换(Buck拓扑)举例,如图1。电感的一端是连接到DC输出电压。另一端通过开关频率切换连接到输入电压或GND。电路中由功率管Q1和功率续流二极管CR1来回切换进行工作,随着半导体工艺的成熟与技术演进,越来越多的Buck电路CR1已经被功率开关管所取代,但注意,当上管与下管都是功率MOS管时,两个功率管是不允许同时导通的(同时导通的话,此回路阻抗最低,会直接短路,电路会烧毁),必须以合适的死区时间进行管理,使得两管交替工作,即Q1导通时,Q2断开,Q2导通时,Q1断开,必须非常精准的进行同步控制,所以也被称为同步整流电源转换。

图1.降压电源转换基本结构
在状态1过程中,电感会通过(上管“high-side”)功率MOS管连接到输入电压。在状态2过程中,电感连接到GND。两个状态如图2。

图2.Buck电路控制状态
现在分析一下在这两个状态下,电感的电流与电压是如果变化的,如图3。在状态1中,电感的一端连接到输入电压,另一端连接到输出电压。对于一个降压转换器,输入电压必须比输出电压高,因此会在电感上形成正向压降。在状态2中,原来连接到输入电压的电感一端被连接到地(通过CR1或者同步整流构架的下管)。输出电压为正端,因此会在电感上形成负向的压降。

图3.电感在Buck电路中电流与电感的变化过程
YP电子飞禽走兽多人版(游戏)有限公司利用电感上电压计算公式:
V=L(dI/dt)
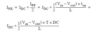
YP电子飞禽走兽多人版(游戏)有限公司单独拉出其中一个周期做分析,如图4,当电感上的电压为正时(状态1),电感上的电流会增加;当电感上的电压为负时(状态2),电感上的电流就会减小。通过电感的电流如图2所示:

图4.电感单个周期的电流状态
通过图4YP电子飞禽走兽多人版(游戏)有限公司可以看到,流过电感的最大电流为DC电流加开关峰峰电流的一半。上图也称为纹波电流。根据上述的公式,YP电子飞禽走兽多人版(游戏)有限公司可以计算出峰值电流:

其中,ton是状态1的时间,T是开关周期(开关频率的倒数),DC为状态1的占空比。
备注:上面的计算是基于各元器件(MOSFET上的导通压降,电感的导通压降或异步电路中肖特基二极管的正向压降)上的压降对比输入和输出电压是相对可以忽略的简化公式。
如果,各器件的压降不作忽略,计算公式会复杂些:

同步整流转换电路:

异步转换电路:

其中,Rs为感应电阻阻抗加电感绕线电阻的阻。Vf 是肖特基二极管的正向压降。R是Rs加MOSFET导通电阻,R=Rs+Rm。
深度解析
详细讲述了某一个周期的电感状态的变化,YP电子飞禽走兽多人版(游戏)有限公司开始正式进入电感选型的深度解析,YP电子飞禽走兽多人版(游戏)有限公司知道,开关电路当中,在设计中往往遇到高温以及高度问题的瓶颈时,电感基本都是聚焦点,那么电感的耗散功率到底有哪些部分组成呢?绝大部分的设计人员,选型电感时只看重DCR,即电感的直流导通阻抗,但已经选择的较低DCR的电感,还是太烫,那就选一个更大尺寸的电感,希望通过更大的体积,接触空气的表面积更多,以及本身热阻更低来降低温度,但如果体积与高度不允许的情况下呢,没有退路了, 必须搞清楚电感的耗散功率到底有哪些部分组成。AG飞禽走兽多人版微通过成功经验的积累以及大量数据分析与你分享以下重要内容:
电感的耗散功率,有三大部分组成:

其中,Pdcr是直流偏置损耗,即大部分YP电子飞禽走兽多人版(游戏)有限公司看到的电感规格书中的DCR。

即电感电流中,平均电流的平方与直流导通阻抗的乘积。但电感在此应用当中,并不是直流状态,而是交流状态,所以引入了Pacr的耗散功率部分。Pacr是交流偏置部分的损耗。

与Pdcr不同,Pdcr的损耗是下面长方形部分的面积,而Pacr是电感电流三角波部分的面积,根据不同的应用场景,有两个重要因素,首先是电感自身的ACR是随频率变化的,即不同的开关电源,开关频率是不同的,如国际型电源芯片厂商,凌力尔特,ADI等,有几十MHz的电源解决方案,国内本土品牌钰泰科技(ETA)有近10MHz的电源解决方案,当然个别应用场景为了其他设计要求,也有只能选择低频开关频率的电源方案,频率越高,电感的ACR值会越差,不同结构设计的线圈,不同的磁芯配方,都会导致不同衰减系数的ACR。以下是AG飞禽走兽多人版微一款用于65W无线充,低ACR的成品实测曲线,在不同频率下,电感的ACR会发生明显的变化。如图5。

图5.SCHH0630-4R7M-ACR频率曲线图
另外一个重要因素,则是开关电源的占空比,在不同的占空比下,比如19V转16.8V,其占空比是88.42%,和19V转1V,其占空比是5.26%,占空比不同,电感电流的di/dt完全不同,三角波面积也会完全不同,其对ACR的要求也会完全不同,而以上两组电源转换,是在笔记本电脑当中尤为常见的两组电压,分别是给4s电池充电的电路和CPU供电的电路。就拿这两个常用案例来说,前者,AG飞禽走兽多人版微推荐SCHB1040-2R2M,该系列将优化点重心放在优化DCR上;后者,AG飞禽走兽多人版微推荐SCHH0630-R22M,该系列将兼备优化DCR同时优化ACR。针对不同应用,需要精准判断寻找适合的解决方案。
另外,关于Pcore,这基本都是全球头部电感供应商的核心技术,core是电感磁芯的意思,在一体成型电感当中,即磁粉原材料用不同的配方,直接影响Pcore的耗散功率,在磁粉的耗散功率中,又由磁滞损耗,剩余损耗和涡流损耗组成,其中占比最大的是磁滞损耗,其他两部分不作为主要讨论对象。
磁芯材料磁化时,送到磁场的能量有2部分,一部分转化为势能,即去掉外磁化电流时,磁场能量可以返回电路;而另一部分变为克服摩擦使磁芯发热消耗掉,这就是磁滞损耗。如图6。

图6.磁滞损耗示意图
磁化曲线中阴影部分的面积代表了在一个工作周期内,磁芯在磁化过程中由磁滞现象引起的能量损耗。如上图可知, 影响损耗面积大小几个参数是:最大工作磁通密度B、最大磁场强度H、剩磁Br、矫顽力Hc,其中B和H取决于外部的电场条件和磁芯的尺寸参数,而Br和Hc取决于材料特性。电感磁芯每磁化一周期,就要损耗与磁滞回线包围面积成正比的能量,频率越高,损耗功率越大,磁感应摆幅越大,包围面积越大,磁滞损耗越大。AG飞禽走兽多人版微有着顶尖的磁粉配方团队,曾于全球顶尖磁性元器件厂商核心配粉专家组工作十余年。其主要突破重心则是降低剩磁,以及矫顽力,从而使得磁滞面积缩小,抑制其在高频工作时产生的耗散功率,在磁粉配方方面,AG飞禽走兽多人版微专属的解决方案,可降低成品热阻特性,使得成品与友商在同样的效率下,发热优于其他方案,降低热系数,解决发热问题。
关于电感磁芯的饱和度
通过已经计算的电感峰值电流,YP电子飞禽走兽多人版(游戏)有限公司可以发现电感上产生了什么。很容易会知道,随着通过电感的电流增加,它的电感量会减小。这是由于磁芯材料的物理特性决定的。电感量会减少多少非常重要,而不仅仅只是看一个饱和电流,如果电感量衰减系数高,意味着过饱和电流后,衰减急剧,反之则有较为平缓的下降幅度,可以应用短时间大电流的特殊应用场景。要知道,如果在负载出现微短路状态,如果电感彻底饱和,意味着直通,作为降压电路,高压直通到负载,电路会瞬间损坏。以AG飞禽走兽多人版微SCCT系列和SCHT系列举例,其磁衰非常缓慢,针对某些场景,需要特别高的饱和电流,甚至应用时个别状态会使得电感处于高磁饱状态的,是非常适合推荐的。

可以对比一下市面上抗磁衰普通的电气性能,比较直观的看出下降幅度有明显差异。

有非常多的应用场景,电感的选型着实让工程师绞尽脑汁,AG飞禽走兽多人版微专注于开发顶尖的功率电感产品和方案,针对实际应用,从整体系统的角度为客户精准定位,推荐最为合适的产品,缩短整体研发周期,欢迎关注AG飞禽走兽多人版微,专业磁性元器件制造商。


留言成功!
共有条评论 网友评论